P2 X2+p2 Q2x Q20
Factor p^2-2p+1-q^2-2qr-r^2 as the product of two polynomials of degree 1.
P2 x2+p2 q2x q20. X^2 - 7x + 2 = x^2 -2px + p^2 + q -7x + 2 = -2px + p^2 + q We can force an answer because 7x must equal to -2px so p = 7/2. To find the vertical asymptotes of f(x) be sure that it is in lowest terms by canceling any common factors, and then find the roots of Q(x). Solve p 2 + q 2 = x 2 + y 2.
This means p is a diviser of x^2 + 1^2, but it does not say that it is exactly the same as p. But notice that (q - p) 2 is exactly the same result.(prove this for yourself) So all we really need to do is to just double the first result, and we get. F(x) = p - (3x)/(x^2 - 1) If you take lim x-> infinity of f(x), the rational function will go to 0 because the denominator is of a higher order than the numerator.
The Q-function is well tabulated and can be computed directly in most of the mathematical software packages such as R and those available in Python, MATLAB and Mathematica.Some values of the Q-function are given below for reference. (p + q) • (p - q) Canceling Out :. Middle School Math Solutions – Equation Calculator.
X^2+px-q=0 Considering p as a root Now considering q as a root Now from (1) Now from (2) p+q=1 Considering p as 1/2 Considering p as -1 p+q = 1-1 + q = 1 q = 1+1 q = 2 ANS:- The values of p and q are 1/2 or -1 and 1/2 or 2. {eq}\frac{x^2}{p^2} + \frac{y^2}{q^2} = 1 {/eq} Equations;. Over the next few weeks, we'll be showing.
X^2 - 6x = -10. Standard IV (Clairaut’s) form. X^2 = 2m^2 * p^2 * q^4 / ( m^2 * p^2 * q^2 - p^4 ) x = sqrt( 2m^2 * p^2 * q^4 / ( m^2 * p^2 * q^2 - p^4 ) ) x = sqrt( 2m^2 * q^4 / ( m^2 * q^2 - p^2 ) ) 0 0.
Our solution is simple, and easy to understand, so don`t hesitate to use it as a solution of your homework. Asked Nov , 13 in ALGEBRA 2 by rockstar Apprentice. Calculate the product pq.
P 2 x 2 + (p 2 - q 2) x - q 2 = 0. Intersecting the remaining inequalities gives:-2 <= x <= -4/3. ( x − 2 z ) p + ( 2 z − y ) q = y − x.
I think the obvious root would be one but the second roots i just. What are the units used for the ideal gas law?. Quadratic Equations, Solving Quadratic Equations Using The Formula.
Find the zeroes of the quadratic polynomial x^2 + 7x + 10, and verify the relationship between the zeroes and the coefficients. Answered by | 13th Sep, 17, 11:37:. 2 The Jacobian matrix J is highly sparse for large power networks since are only non-zero where a physical connection.
X^2 - 6x + 9= -10 +9 (x - 3)^2 = -1 (x - 3)^2. 1 The Jacobian matrix J is generally symmetrical in structure but not in value (i.e. Equation at the end of step 2 :.
Solving Quadratic Equations Using The Formula. Use the inner product < p,q >= p(-2)q(-2)+ p(0)q(0)+ p(2)q(2) in P3 to find the orthogonal projection of p(x) = 4x^2 +5x+1 onto the line L spanned by q(x) = 3x^2-6x-9. We observe that x2 + 1 has two non-real roots f ig.
We conclude that Q(p 2) :. If you can prove there is a z such that z^2 ( x^2 + 1) = 0 (mod p) and (x*z mod p)^2 + z^2 = p then you have solved this matter. On problems where you have a coefficient for the x^2 term, always divide all terms on both sides by that number before step # 2.
Use the process called "completing the square". Let V = P 2(R), the space of real polynomials with degree at most two.De ne an inner product on V by hp(x);q(x)i= Z 1 0 p(x)q(x)dx:. Q - p^2 = -5 => q - 4 = -5 => q = -1.
(# 2.30) For the statements P and Q, show that P =⇒ (P ∨Q) is a tautology. X^2+6x-2=(x+p)^2+q find values of p and q please help the answer is p=3 and q=11, but tried to workd out but dont know how thanks Answer by sudhanshu_kmr(1152) (Show Source):. -x^2 + 4x - 5 = -x^2 - 2px + (q-p^2) Thus, -2p = 4, so p=-2, and (q-p^2) = q-4 = -5 so q=-1.
Click here👆to get an answer to your question ️ Solve p^2x^2 + (p^2 - q^2)x - q^2 = 0. Share this question. If c = 2 then P(2) ⇔ Q(2) is true.
Get an answer for 'Express x^2 - 8x + 17 in the form (x-p)^2 + q, where p and q are integers and find the minimum value of x^2 - 8x + 17.' and find homework help for other Math questions at eNotes. Solve your math problems using our free math solver with step-by-step solutions. Equations in algebra and calculus form the basis for possibly all of physical phenomena in our daily life.
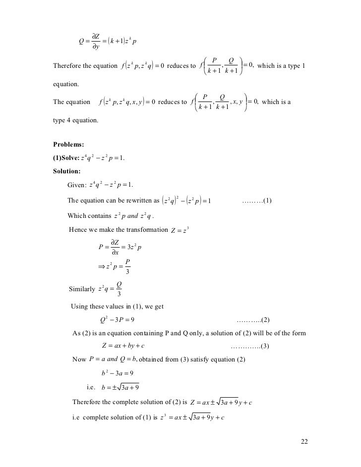
Equation of the type z = px + qy + f (p,q) -----(1) is known as Clairaut‟s. Z 2 − a 2 y 2 z dx + a 2 y z dy. To ask Unlimited Maths doubts download Doubtnut from - https://goo.gl/9WZjCW Solve the x by quadratic formula `P^2x^2+(p^2-q^2)x-q^2=0`.
You need to write this in the form. Factor 4x^2y^2-(x^2+y^2-z^2)^2 as the product of four polynomials of degree 1. We may also drop the fourth because it is implied by the second.
P = -2, q = 1. Thus g(x,y,z,p,q,a)= p 2 +q 2-a 2 =0. Simple and best practice solution for p^2x^2+(p^2-q^2)x-q^2=0 equation.
Worksheet, March 14th James McIvor 1. If b = 3 then Q(3) =⇒ P(3) is false. Homework Statement Express x^2 - 10x in the form (x+p)^2 + q State the value of P and Q The Attempt at a Solution I don't know!.
On the other hand, we have Q(p 2) R. The equation x^2+px+q=0, q cannot be equal to 0, has two unequal roots such that the squares of the roots are the same as the two roots. Q 2 is the square of q 1 Factorization is :.
Answer by rapaljer(4671) (Show Source):. Hence z dz − a 2 y dy √. WRITE THE FOLLOWING EQUATION IN STANDARD FORM x^2+6x+y^2+4y=0 AND IDENTIFY THE CENTER AND RADIUS.
Check how easy it is, and learn it for the future. All Questions Ask Doubt. P^2x^2 +(p^2-q^2)x -q^2=0 using quadratic formula solve equation Get the answers you need, now!.
(x-p)^2 = (x-q)^2 just take the root, and you have either x-p = x-q so no solution unless p=q, in which case there are infinitely many solutions OR x-p = -(x-q) 2x = q+p x = (q+p)/2 Or, you could have expanded at the start (x-p)^2 = (x-q)^2 x^2 - 2px + p^2 = x^2 - 2qx + q^2 2(q-p)x = q^2 - p^2 = (q-p)(q+p) 2x = q+p unless q=p x = (q+p)/2. But it is not the general solution because the general solution involves two arbitrary functions (not only two arbitrary constants). After that,, We must add the first & second $$(p-q)^2$$ + $$(q-p)^2$$ This is equal to that;.
Welcome to our new "Getting Started" math solutions series. The best you can do is. Find b + c.
X >= -2, x <= -60/47. Asked by Topperlearning User | 13th Sep, 17, 09:37:. Yes, $\quad z=ax+y\sqrt{1-a^2}+b\quad$ is a particular set of solutions of the PDE.
The given equation can be written as p 2 –x 2 = y 2 –q 2 = a 2 (say) p 2 –x 2 = a 2 Implies p = Ö (a 2 + x 2) andy 2 –q 2 = a 2 Implies q = Ö (y 2 –a 2) But dz = pdx + qdy. The fact that we have three equations or8x3y2z2 + 5x2yz3 - 3xyz + 4x2yz3. Asked Feb 11, 14 in ALGEBRA 1 by anonymous Apprentice.
5 The following observations are in order:. This is an example of completing the square.If we expand (x - p)^2 + q, we will have x^2 -2px + p + q.Now we can use algebra to work out what p and q are from the following equation. Now simplify to 2(x - 3/2)^2 + 13/2 So p=2, q= -3/2, r = 13/2.
P = 1, q = -2;. Verify that this satis es each of the axioms for an inner product. Reading the left-most and the right-most parts of above says that (p^2+1)x^2 + 2pqx + q^2 > 0 for all such x.
If it's not what You are looking for type in the equation solver your own equation and let us solve it. The actual question I'm trying to tackle is express 3x^2 +5x+1 in the form p(x+q)^2+r and to be hones. The p term will not be effected by the limit since it is constant.
2(x^2 - 2x) = -3. 1 Orthogonal Basis for Inner Product Space If V = P3 with the inner product < f,g >= R1 −1 f(x)g(x)dx, apply the Gram-Schmidt algorithm to obtain an orthogonal basis from B = {1,x,x2,x3}. Dp pq = dq − p 2 gives p 2 +q 2 =a 2.
Related Symbolab blog posts. This means there is an x such that x^2 = -1 (mod p). 2(x) = x2 + 2 are f p 2g.
(p^2+1)x^2 + 2pqx + q^2 > (p^2)(x^2) + 2pqx + q^2 (since x^2 > 0, for any x other than zero) = ( px + q )^2 > = 0 (since it is the square of SOME quantity, hence can not be negative). This is of Lagrange’s type of PDE where P = x − 2 z , Q = 2 z − y, R = y − x. 2 = i p 2) = Q(p 2;i) is a splitting field of g(x) = f 1(x) f 2(x).
Physics is basically using. We may drop the first because it is implied by the third. X^2 - 6x + 10 = 0.
Notice that (p - q) 2 = p 2 - 2pq + q 2. Equal roots→ b²=4ac p²(1+q)²=4{1-(q-½p²){q²-(q-½p²)} p²{1+2q+q²}=4{q²+(q-½p²)²-(q-½p²)-q²(q-½p²))} p²+q²p²+2qp²=4q²+4q²+p^4–4qp²-4q+2p². Thus dz= a √.
Recall how to find all solutions to X^2 + Y^2 =Z^2 since it similar. Because the 2 in front of the parentheses containing x^2 means that I have added 2*9/4 so I must subtract 2*9/4 to keep the value of the whole expression unchanged. Q k sp 0 k 2 3 N Q f x P 2 x P 2 sp P N x PN sp Q 2 x Q 2 sp Q NQx Q NQ sp x 2 from ECE 4530 at Kean University.
Let a=p(q-r)=pq-rp b=q(r-p)=qr-pq c=r(p-q)=rp-qr a+b+c=0 Now D=b^2–4ac=(a+c)^2–4ac=0 (a-c)^2=0 a=c a+b+c=0 Or 2a+b=0 2pq-2rp+qr-pq =0 pq-2rp+qr =0 2rp=q(p+r) 2/q=(p+r)/pr. Express x and y in terms of p, q, and r. If p and q are the roots of the equation x^2 + px + q = 0 Quadratic Equations If p and q are the roots of the equation x 2 + px + q = 0, then.
X^2 - 2x = -3/2 Now start with step # 2.-----In your problem, you would follow this process:. X = x 1, x = x 2,. 4x - 5 - x^2 = q - (x^2 + 2px + p^2)-2p = 4 => p = -2.
If p and q are the zeroes of polynomial f(x) = 2x^2 - 7x + 3, find the value of p^2 + q^2. (p - q) ——————— p + q Step 3 :. The gist of the communicate accessible (sorry, there are too many pages to furnish all the links) is that wands help to concentration the magic resident in.
, x = x k, where x 1, x 2,. What is the method for these sorts of questions. Express x^2 - 6x + 16 in the form (x-p)^2+q.
(q-p)^2 =q^2-2pq+ p^2$$ This is second one. → The auxiliary equations are dx 2 py = dy 2 qy − z = dz 2 (p 2 + q 2) y − qz = dp pq = dq − p 2. Asked Jan 23, 19 in Mathematics by Bhavyak (67.2k points) polynomials;.
We now verify that F:. Note if a = 1 then P(1) =⇒ Q(1) is false. Therefore, F = Q(p 2;.
2.2 Cancel out (p + q) which appears on both sides of the fraction line. You can't, because there are three variables but only one equation. I don't get it because when I times out the brackets p will always be a number, and there are no numbers that aren't multiplied by x in x squared minus 10 x.
Solving for p and q, we get q= a 2 y z,p 2 =a 2-a 4 y 2 z 2. You can put this solution on YOUR website!. Since f 1(x) 2Qx is 2-Eisenstein, it is irreducible over Q;.
Our math solver supports basic math, pre-algebra, algebra, trigonometry, calculus and more. X^2 + bx + c = 0 are p^2 and q^2. , x k are roots of Q(x).
Z 2 − a 2 y 2. 2 Inner-Product Function Space Consider the vector space C0,1 of all continuously differentiable functions defined on the closed. Therefore there is an x such that x^2 + 1^2 = 0 (mod p).
How do you write in the form of y=a(x-p)2+q from y=x2-6x+10?. Y (2)Solve the equation ( x − 2 z ) p + ( 2 z − y ) q = y − x.Solution:. P 2 is the square of p 1 Check :.
Let P Q And R Be Real Numbers P Q R 0 Such That The Roots Of The Equation 1 X P 1 X Q 1 R Are Equal In

How To Complete The Square And Write A Quadratic In The Form X P 2 Q Youtube

Solve P X Q Q X P 2 Math Quadratic Equations Meritnation Com
P2 X2+p2 Q2x Q20 のギャラリー

Partial Differential Equation Notes

Chapter 1 Maths 3
If X 1 P Y 1 Q Z 1 R And Xyz 1 Then What Is The Value Of P Q R Quora
2

Solve Using Quadratic Formula P 2 X 2 P 2 Q 2 X Q 2 0 Here Means Square Brainly In

Solve The Equation 4x 2 4px P 2 Q 2 0
2

Chapter 1 Maths 3

P 2x 2 P 2 Q 2 X Q 2 0 Using Quadratic Formula Solve For X Px

If Roots Of Quadratic Equation P Q R X 2 Q R P X R P Q 0 Are Equal Show 1 P 1 R 2 Q Youtube

If The Roots Of The Equation X 2 Px Q 0 Differ By Unity Then Youtube
The Coefficient Of X In The Quadratic Equation X 2 Px Q 0 Was Taken As 17 In Place Of 13 Its Roots Were Found To Be 2 And 15 How Do You Find The Original Roots

Solve The X By Quadratic Formula P 2x 2 P 2 Q 2 X Q 2 0 Youtube

If X2 X 1 Is A Factor Of X4 Px3 Qx2 1 Then Can The Values Of P And Q Be 1 2 1 2 1 2 3 1 2 4 2 1 Quora

If P And Q Are The Roots Of The Equation X2 3x 2 0 Then Find The Value Of 1 P 1 Q Brainly In

Using Quadratic Formula Solve P 2x 2 P 2 Q 2 X Q 2 0 Brainly In

How Do You Write A Quadratic Equation In Intercept Form If You Have A Graph Printable Summary Virtual Nerd
If Math Alpha Math And Math Beta Math Are The Roots Of The Equation Math X 2 P X 1 Q 0 Math Then What Is The Value Of Math Frac Alpha 2 2 Alpha 1 Alpha 2 2 Alpha Q Frac Beta 2 2 Beta 1 Beta 2 2 Beta Q Math Quora

Chapter 1 Maths 3

Pqx 2 P 2 Q 2 X Pq 0 Solve This Problem By Using Quadratic Formula Please Don T Spam With Me Brainly In

Solve Using Quadratic Formula P2x2 P2 Q 2 X Q2 0 Math Quadratic Equations Meritnation Com

Partial Differential Equations

Solve These Following Quadratic Equations By Using The Quadratic Formula Sridhar Acharya S Rule 2 Brainly In

Using The Quadratic Formula Solve The Quadratic Equation For X P 2x 2 P 2 Q 2 X Q 2 0 Math Quadratic Equations Meritnation Com

If P Q Are The Roots Of Equation X 2 Px Q 0 Then Value Of P Must Be Equal To Youtube
If A And B Are The Roots Of X 3x P 0 And C D Are Roots Of X 12x Q 0 Where A B C D Form A Gp How

If The Roots Of The Quadratic Equation P Q R X 2 Q R P X R P Q 0 Are Equal Show That 1 P 1 R Brainly In

Chapter 1 Maths 3

Ml Aggarwal Solutions For Class 10 Chapter 5 Quadratic Equations In One Variable Free Pdf Available
Madasmaths Com Archive Maths Booklets Basic Topics Various Polynomials Exam Questions Intro Pdf
I P 2 X 2 P 2 Q 2 X Q 2 0 P 0 Ii 9x 2 9 A B X
2

The Roots Of The Equation X P X Q R 2 Where P Q R Are Real Are Youtube
What Will Be The Value Of P And Q For X 2 2x 5 To Be A Factor Of X 4 Px 2 Q Quora
2

Solve P2x2 P2 Q2 X Q2 0 Brainly In
Http Www Columbia Edu Kr2248 4109 Chapter5 Pdf

If X 1 And X Minus 1 Of Factors Of P X Cube X Square 2 X Q Then Find The Value Of P And Q Brainly In
2

Solve The X By Quadratic Formula P 2x 2 P 2 Q 2 X Q 2 0 Youtube

How To Complete The Square And Write A Quadratic In The Form X P 2 Q Youtube

P 2x 2 P 2 Q 2 X Q 2 0 The15 Using Quadratic Formula Solve The
Http Link Springer Com Content Pdf 10 1007 2f978 1 349 6 Pdf
Solve The Following Quadratic Equation For X P2x2 P2 Q2 X Q2 0 Mathematics Topperlearning Com Cf13ivpdd

Solution Of A Partial Differential Equation
Unit1 Partial Differential Equation Equations
What Will Be The Value Of P And Q For X 2 2x 5 To Be A Factor Of X 4 Px 2 Q Quora

Solved Let A Be A Matrix And P X Anx An 18 1 Chegg Com
Proof That P Is Irrational Wikipedia
If X3 Y3 Z3 3 1 Xyz P Y Z X Q Z X Y And R X Y Z Then What Is The Value Of P3 Q3 R3 3pqr Quora
2

Pqx 2 P 2 Q 2 Pq 0 Solve For X Brainly In

Solving Quadratics By Taking Square Roots Examples Video Khan Academy
3

Chapter Ppt Download

2500 Solved Problems In Differential Equations 2500 Solved Problems In Differential Docsity

7 3 Singular Points And The Method Of Frobenius Jirka Org
If The Roots Of X Px Qx R 0 Are In G P Then What Is The Relation Between P Q R Quora

P 2 X 2 P 2 Q 2 X Q 2 0 Using Quadratic Formula Solve Fo

If The Roots Of The Equation X 2 Px Q 0 And The Roots Of The Equation X 2 Qx P 0 Youtube

Solve X P X Q Q X P 2 X P Q Youtube
Q Tbn 3aand9gcswrspdx8ud 7owk4n M3zf7ipx4n0vvwapii0bdi5g Evvqk6x Usqp Cau
Solution Solve X Using Quadratic Formula P2x2 P2 Q2 X Q2 0
Http Hsit Ac In E Learning Engineering mathematics 15mat21 Engg Maths Ii notes Pdf

If P Q R X 2 Q R P X R P Q 0 Has Equal Roots Then What Is The Value Of 2 Q Quora
A Quadratic Equation X 2 8x 9 0 Is Rewritten In The Form X P 2

Partial Differential Equation Notes

S S C Mathematics Part 2 Pages 101 150 Flip Pdf Download Fliphtml5

Partial Differential Equation Notes

Solve The Equation X 2p 2 Y 2q 2 Z 2 Mathematics 2 Question Answer Collection
2

Chapter 1 Maths 3

Solve The Following Quadratic Equation P 2 X 2 P 2 Q 2 X Q 2 0 Brainly In

Chapter 1 Maths 3

Chapter 1 Maths 3

Chapter 1 Maths 3

Ml Aggarwal Solutions For Class 10 Chapter 5 Quadratic Equations In One Variable Free Pdf Available

If Math Alpha Math And Math Beta Math Are The Roots Of The Equation Math X 2 P X 1 Q 0 Math Then What Is The Value Of Math Frac Alpha 2 2 Alpha 1 Alpha 2 2 Alpha Q Frac Beta 2 2 Beta 1 Beta 2 2 Beta Q Math Quora

P 2x 2 P 2 Q 2 X Q 2 0

Completing The Square Write In The Form X P Squared Q Youtube
Using Quadratic Formula Solve The Following Quadratic Equation P 2x 2 P 2 Q 2 X Q 2 0 Sarthaks Econnect Largest Online Education Community

P 2x 2 P 2 Q 2 X Q 2 0 13 Using Quadratic Formula Solve The F

Chapter 1 Maths 3
2

If X Square 3x 2 Is A Factor Of X Power 4 Px Square Q Find The Value Of P And Q Brainly In

Charpit Method Non Linear Pde Mathematics Stack Exchange

Chapter 1 Maths 3

Converting From Ax 2 Bx C To A X P 2 Q Youtube

Using Quadratic Formula Solve The Following Quadratic Equation P 2x 2 P 2 Q 2 X Q 2 0 Brainly In

What Is The Value Of P And Q If X 1 And X 2 Are The Factors Of X 3 3x 2 2px Q Quora

Chapter 1 Maths 3
If A B Are Roots Of X 2 Px Q 0 And X 2n P Nx N Q N 0 And If A B Is One Root Of X N 1

Chapter 1 Maths 3

If 2 Bare The Roots G Quadratic En Xt Px 2 0 Then The Value Of 4

Ex 2 2 2 Find P 0 P 1 And P 2 For Each Of The Ex 2 2

Example 24 If P Q R Are In Gp And Equations Px2 2qx R 0
Unit1 Partial Differential Equation Equations

Solution Of A Partial Differential Equation

Using Quadratic Formula Solve For X Qquad P 2 X 2 P 2 Q



