
Graph Equations And Equation Systems With Step By Step Math Problem Solver

Math Scene Equations Iii Lesson 2 Quadratic Equations

New Syllabus Additional Mathematics Pages 51 100 Flip Pdf Download Fliphtml5
Factorise 2x2x+y 3x+y のギャラリー

Solving A Quadratic Equation By Factoring A Plus Topper

Factorise 2x 2 Y 2 8z 2 2 2xy 4 2yz 8xz Brainly In
Solved Simplify X 4 Y 0 X 1 2y 2 2 X 3y 2 2 X 2y Chegg Com

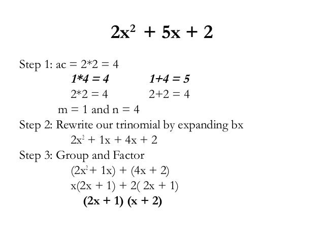
Solved Factor 2x 2 14x 12 Completely 2 X 7 X 1 Chegg Com
How To Factorise X 2 Y 2 2x 6y 8 Quora

Ml Aggarwal Solutions For Class 10 Chapter 5 Quadratic Equations In One Variable Free Pdf Available

Factor Out A Common Binomial Example 1 2x X 4 3 X 4 A Solution 3y 2 Y 2 5 2 Y B 2x X 4 3 X 4 X 4 2x 3 A The Binomials Ppt Download

Without Finding The Cubes Factorise 2x 5y 3 5y 3z 3 3z 2x 3 Brainly In

Ex 14 2 3 Iii Factorise 2x 3 2xy 2 2xz 2 Ex 14 2

Quadratic Functions Graphs

Factorise 2x Y Z 3 2y Z X 3 2z X Y 3 Brainly In

Factorise X 3 2x 2 X 2 Youtube

Ans Exercise 5 B 12 40 a2 Ta2 5a B 9 35 A 17

Solving A Quadratic Equation By Factoring A Plus Topper

Factoring Calculator Wolfram Alpha

Factor 2x 2 5x 3 Youtube

Example 7 Solve 2x2 5x 3 0 By Completing The Square
5 Ways To Solve For X Wikihow

Factorise I X 3 2x 2 X 2 Iii X 3 3x 2 9x 5 I X
3
Http Www Armadalemaths Com S 006bb2aa Pdf
Factorise 2x3 3x2 17x 30 Mathematics Topperlearning Com Bruakdrmm

Factorize 2x 3 Xy 2 Y 3 Mathematics Topperlearning Com Uztky8oo

Factorise X 2 1 X 2 2 2x 2 X Factorise X 3 1 X 3 2x 2 X Factorisation Class 9 Maths Youtube

Factorise 2x 2 X 1 8 0 Using Splitting The Middle Term Brainly In

Q 3 Find The Integrating Factor And Solve The Exact Solution Consider The Differential Equation E X Y Cosy Cosx 2e 2x Y Dx Sinx E X Y Siny 3y 2e Y Dy Q 5 Prove Socratic

Factorizing If 2x 1 Is A Factor Of The Expression 6 X2 5x

How To Factorise 2x 2 7x 15 Youtube

Factoring 4 Warm Up Answers 2x 2 X 3 2 X 3 X 6 3 X 10 X 10 4 Y 2 3x 8 1 2x 3 6x 2 2 X 2 9x X 3xy Ppt Download
Eagleview Asd Org Teachers Donna Hussain Documents Quadratic relationships Chapter 8 Factoring review packet Pdf
Www Matsuk12 Us Cms Lib Ak Centricity Domain 2640 Spring final review solutions 17 Pdf

Solved X Dy Dx 2x E X Y 6x 2 Separable Bernoulli Ex Chegg Com

Class 9 Polynomial 2 Coordinate Geometry Linear Equation In Two Variables Euclid S Geometry Lines And Angles Notes

Factoring Polynomials How To Find Common Factor Video Khan Academy
Chapter 6 Factorisation Of Polynomials Rd Sharma Solutions For Class 9 Mathematics Cbse Topperlearning

Factor 2x 2 X 3 Youtube

Warm Up Exercises Factor Out A Common Binomial Example 1 2x X 4 3 X 4 A 3y 2 Y 2 5 2 Y B Factor 1 From 2 Y Distributive Property Ppt Download
Solved Simplify 64 X X Y 3 2 Express In Scientific Chegg Com

Factoring 15 3 And 15 4 Grouping And Trial And Error
2

How To Solve Factoring Problems Pdf Free Download

2x 2 X 1 8 0 Solve By Factorisation Method Brainly In
Http Webcapp Ccsu Edu U List 796 Chap6 review Test Pdf

Exercise 2 4 Question 5 Ncert Solutions Maths Chapter 2 Class 9

Ex 14 2 3 Iii Factorise 2x 3 2xy 2 2xz 2 Ex 14 2

Systems Of Equations With Substitution 9x 3y 15 Y X 5 Video Khan Academy

How To Factorize Factorize X 3 1 X 3 2 Quora
2
How To Factor Math X Y 2 Z 2 Y Z 2 X 2 Z Y 2 X 2 Math Quora

Factoring By Grouping Solutions Examples Videos
Cbse 8 Math Cbse Factorization Ncert Solutions

Solutions To Implicit Differentiation Problems
Q Tbn 3aand9gcswrspdx8ud 7owk4n M3zf7ipx4n0vvwapii0bdi5g Evvqk6x Usqp Cau

Exercise 2 4 Question 5 Ncert Solutions Maths Chapter 2 Class 9

2x Square Y Square 8z Square 2 Root 2 Xy 4 Root 2 Yz 8xz Brainly In

Class 9 Polynomial 2 Coordinate Geometry Linear Equation In Two Variables Euclid S Geometry Lines And Angles Notes
Http Www Tatecountyschools Org Userfiles 157 Classes 842 5 9 transforming functions Pdf Id 5391

Graphing Parabolas

Class 9 Polynomial 2 Coordinate Geometry Linear Equation In Two Variables Euclid S Geometry Lines And Angles Notes

In Each Of Problems 16 And 18 The Given Copes Is Not Exact But Becomes Exact When Multiplied By The Given Integrating Factor Then Solve The Equation 16 Math 2x 2y 3 X 1 Y 2 Y 0 Math
How To Factorise X 2 2 5x 3 Quora

Mathematics Support Centre Title Common Factors

X Xy 2y 2x 5y 3 Please Solve It Math Factorisation Meritnation Com

254 Factorise 2 X 3 2x 2 X 2 3 X 3 3x 2 9x 5 4 X

Graph Equations And Equation Systems With Step By Step Math Problem Solver

Show That X 2 Is A Factor Of The Polynomial F X 2x3 3x2 17x 30 And Hence Factorize F X Mathematics Topperlearning Com Q77e6jeuu

Solved Q3 A Solve The Equation 3 X 2 2 2x X Chegg Com
2

Selina Concise Mathematics Class 10 Icse Solutions Remainder And Factor Theorems A Plus Topper

The Factors Of X 3 X 2y X Y 2 Y 3 Are A X Y X 2 X Y Y 2 B X Y X 2 X Y Y 2 C Youtube

Factor A Polynomial And Trinomial With Step By Step Math Problem Solver

Math 432 Hw 2 5 Solutions Pdf Free Download

Factorise 2x 2 3y 2 Z 2 2 6xy 2 3yz 2 2xz Find The Value When X Is Math Algebraic Expressions And Identities Meritnation Com

Factorise I 4x 2 9y 2 16 Z 2 12 X Y 24 Y Z 16 X Z Ii 2x 2 Y 2 2sqrt 2 X Y 4sqrt 2 Y Youtube
Q Tbn 3aand9gctu7jku5eo8noumkmw9ovtojbtwtaxzfo4l0b Ss5w Usqp Cau

Exercise 2 4 Question 5 Ncert Solutions Maths Chapter 2 Class 9
Solved 1 Simplify 5x3 3x3s 3 Simplify A By 5 F Chegg Com
2

How To Factorize Factorize X 3 1 X 3 2 Quora

Solving Equations By Factoring
Cbse 8 Math Cbse Factorization Ncert Solutions

Selina Concise Mathematics Class 10 Icse Solutions Remainder And Factor Theorems A Plus Topper

Find The Roots Of 2x 2 X 4 0 By Quadratic Formula

Math 432 Hw 2 5 Solutions Pdf Free Download

Factorise 4 X Y 2 9 X Y 2 Brainly In

Differential Equations Solved Examples Show That Following Differential Equation Is Not Exact 3x 2y 4 2xy Dx 2x 3y 3 X 2 Dy 0 Then Find An Integrating Factor To Solve The Differential Equation

Wolfram Alpha Examples Step By Step Solutions

Solve Quadratic Equation X 2 2x 3 0 Youtube
Q Tbn 3aand9gcqyc8jwl4ovhhukir2xkjhcul5rpwkfqkuwasmzfddwkp0xbqgi Usqp Cau

Factor A Polynomial And Trinomial With Step By Step Math Problem Solver

Factorise The Polynomial 8 X Cube 2x Y Cube Brainly In

Solving Quadratics By Substitution Y 2 X 6 0 X Y 0 Solve For X Or Y Plug In The Expression For Y Simplify And Combine Like Terms Solve The Quadratic Ppt Download
Www Shoreregional Org Cms Lib Nj Centricity Domain 69 Pdf
How To Factor 2x 2 7x 3 Quora

Factor 2x 2 3xy Y 2 And Verify Youtube

Factoring 15 3 And 15 4 Grouping And Trial And Error

5 Factorise 1 X 3 2x 2 X 2 Ii X 3 3x 2 9x 5 Iii
Www Matsuk12 Us Cms Lib Ak Centricity Domain 2640 Spring final review solutions 17 Pdf
2

Class 9 Polynomial 2 Coordinate Geometry Linear Equation In Two Variables Euclid S Geometry Lines And Angles Notes
Www Lcps Org Cms Lib Va Centricity Domain 3665 Unit 4 day 7 notes a2 Pdf


        
